Bahan Belajar (Dasar Teori) : Modul Dinamika Level Tangki (DLT)-Praktikum OTK II Teknik Kimia USK

Dinamika Level Tangki

Gambar 1. Peralatan pada percobaan Dinamika Level Tangki


1. TUJUAN PERCOBAAN 

Percobaan ini bertujuan untuk memahami dinamika level tangki dengan menggunakan sistem feedback dan membuat model matematiknya. 

2. DASAR TEORI 

2.1 Dinamika Level Tangki 

    Proses dalam industri kimia melibatkan tangki-tangki. Pemahaman terhadap dinamika level tangki tersebut, sangat diperlukan, baik pada tahapan perancangan maupun pengoperasian. Dinamika level tangki bergantung pada laju alir material yang masuk maupun yang keluar. Kedua variabel ini rentan terhadap perubahan-perubahan baik karena diinginkan, yaitu sebagai variabel manipulasi (manipulation variable) maupun karena terganggu, yaitu variable gangguan (disturbance). Perubahan-perubahan ini akan mempengaruhi level material dalam tangki. Dalam tangki penampungan, perubahan level ini tidak begitu mempengaruhi proses, asal dijaga jangan sampai melewati batasan ketinggian yang diizinkan, misalnya 20% - 80% tinggi tangki. 

    Pemodelan matematis merupakan kegiatan menerjemahkan suatu permasalahan dalam dunia nyata kedalam bentuk bentuk model matematika dengan tujuan untuk memperoleh solusi dari permasalahan tersebut. Penyelesaian yang diperoleh dari hasil pemodelan perlu diuji untuk mengetahui apakah valid atau tidak hasil yang paling akan menjawab bahwa pengendalian yang dilakukan secara tepat dan disebut dengan solusi matematika jika penyelesaian tidak valid dan tidak memenuhi model matematika maka solusi masih masalah belum ditemukan, dan perlu dilakukan pengisian ulang atas model matematikanya


dimana 

A= luas penampang tangki

L=Level tangki

Fi=laju alir input

Fo=laju alir output

Besarnya laju alir keluar bergantung pada mekanisme pengeluaran fluida, misalnya apakah dengan cara pemompaan atau secara alamiah (tanpa pemompaan). Untuk kasus alamiah, laju alir ini merupakan fungsi level fluida, yaitu:

𝐹𝑜𝑢𝑡 = 𝑐L

Dimana c adalah konstanta valve yang bisa dikaitkan dengan gaya jatuh dan friksi pada jalur keluaran (misal, pipa dan valve). c juga dapat di lihat sebagai fungsi dari laju alir fluida. Artinya nilai c berubah dengan berubahnya laju alir. Model matematik untuk c dapat dilihat sebagai fungsi polinomial, power, eksponensial dari variable level (L), sebagaimana ditunjukkan pada pers 1,2,dan 3, berturut-turut :



Pada level tangki akan ada pengendalian proses kontrol,yaitu serangkain bebrapa elemen pengontrol untuk mengoprasikan rangkain peralatan sehingga proses dapat berjalan sesuai dengan yang ingin diharapkan.Hal yang perlu diperhatikan yaitu:
1.sensor
2.controller
3.final control element

2.2 Pengendalian Proses Kontrol 

    Sistem Pengendalian proses control bertujuan untuk mengoperasikan rangkaian peralatan sehingga proses dapat berjalan sesuai dengan yang ingin diharapkan. Hal-hal yang diperlukan dalam pengendalian proses antara lain ialah mempelajari konsep kegunaan dari sensor, controller dan final Control element. Pengendalian proses memberikan suatu aplikasi yang penting dalam kondisi safety (menekan emisi bahan bahaya dan over capacity), mengoperasikan proses di pabrik dengan lancar, menjamin kualitas produk, keuntungan yang maksimum (Marlin, 1995).Pada unit pengendali yang baik maka proses dapat dioperasikan pada kondisi yang optimum dengan cara menolak/menghindar segala macam gangguan seperti yang disebabkan perubahan dari laju alir umpan, suhu, aliran pendingin, gangguan lain yang tidak dapat diprediksi. Di dunia industri kita mengenal ada dua jenis sistem pengendali proses yaitu, sistem pengendali umpan balik (feedback control) dan sistem pengendali umpan maju (feedforward control). 

    Pada level tangki akan ada pengendalian proses kontrol,yaitu serangkain bebrapa elemen pengontrol untuk mengoprasikan rangkain peralatan sehingga proses dapat berjalan sesuai dengan yang ingin diharapkan.Hal yang perlu diperhatikan yaitu:
1.sensor
2.controller
3.final control element

Pe        Pengendalain proses memberikan suatu aplikasi yang penting di dalam kondisi :
1.      Safety (menekan emisi bahan-bahan yang berbahya dan over capasity
2.      2.mengoperasikan proses di pabrik dengan lancar
3.      3.menjamin kualitas produkj
4.      4.keuntungan yang maksimum

    Hal yang yang harus diperhatikan pada unit pengendali yang baik sehiungga proeses dapat dioperasikan pada kondisi optimum maka dapat menolak/menghindari gangguan seperti:
1.laju alir umpan
2.suhu
3.aliran pendingin

Dalam praktiknya, sistem pengendalian proses dapat dikarakteristikkan dalam bentuk: 

  • Diskrit – Terdapat pada aplikasi manufaktur dan pengemasan. Pemasangan dengan bantuan robot, seperti yang umum digunakan pada produksi otomotif, dapat dikarakteristikkan sebagai pengendalian proses diskrit. Sebagian besar proses manufaktur diskrit melibatkan produksi bagian produk secara diskrit, seperti pembentukan logam. 
  • Partaian – Beberapa aplikasi membutuhkan digabungkannya beberapa bahan baku spesifik dengan cara tertentu pada jangka waktu tertentu untuk menghasilkan produk samping atau produk akhir. Contohnya adalah pada produksi lem dan perekat, yang umumnya membutuhkan pencampuran bahan baku dalam suatu reaktor yang dipanaskan selama periode waktu tertentu. Contoh lain adalah pada produksi makanan dan obat. Proses partaian biasanya dilakukan untuk memproduksi produk dengan kapasitas rendah hingga sedang. 
  • Kontinu – Seringkali proses produksi berlangsung secara terus menerus tanpa terhenti. Pengendalian temperatur air pada jaket pemanas secara terus menerus adalah contoh pengendalian proses secara kontinu. Contoh produksi yang berlangsung secara kontinu adalah produksi bahan bakar. Proses kontinu pada proses produksi digunakan untuk memproduksi produk dengan kapasitas besar. 

2.3 Jenis Sistem Pengendalian Proses

1.      Feedback control (sistem pengendali umpan balik)

Dilaksankan setelah seluruh kegiatan dalam suatu proses telah selesai.Pengendali ini memiliki pada hasil akhir yang dicapai.Pengendali ini umpan yang baik yang dapat digunakan sebgai dasar perencanaan.Feedback merupakan suatu kontrol yang dapat digunakan secara efektif untuk mempercepat tanggapan sistem pengendalian sehingga sesuai dengan setpoint yang dikehendaki.

Gambar 2. Sistem feedback control


2.4 Feedback Control

     Feedback control bekerja berdasarkan tingkat nilai error yang terjadi pada hasil produk yang dikontrol, sehingga ketika variabel control mempunyai nilai error maka sistem pengendali tersebut akan memanipulasi input dengan merubah besarannya agar nilai output mendekati nilai yang ditetapkan (Stephanopoulos, 1998; Coughhannowr, 1991).

 Jenis- jenis pengendali feedback yang umum dipakai ialah:
 Proportional 
 Proportional Integral 
 Proportional Integral Derivative 


2.5 Feedforward Control 

    Feedforward control adalah suatu pengendalian yang dapat diaplikasikan secara efektif untuk mempercepat tanggapan sistem pengendalian sehingga sesuai dengan nilai atau poin yang yang diharapkan. Hal tersebut dikarenakan feedforward mampu secara langsung mengkoreksi perubahan beban yang terjadi meskipun akan tetap menimbulkan error walaupun error yang dihasilkan akan jauh lebih kecil dibandingkan tidak menggunakan feedforward. Error yang kecil tersebut kemudian dikoreksi oleh sistem feedback sehingga diperlukan diperlukan untuk mengatasi hal tersebut mampu mengurangi deviasi dari set poin namun prosesnya berjalan lambat. Feedforward sering digunakan Jika terjadi perubahan beban yang besar dengan ditandai oleh kebocoran tangki maka dari itu dibutuhkan sistem pengadilan feedforward. 

2.6 Istilah_istilah dan Defenisi pada Dinamika Level Tangki

Plant: Proses yang akan dikontrol mulai dari yang paling sederhana sampai dengan kompleks yang melingkup suatu unit proses

Sensor: Element yang digunakan untuk mengukur variabel proses yang akan dikontrol

Comparator: Pembanding yang membandingkan control variabel dengan setpoint

Variabel: Sesuatu properti yang harus dijaga  atau dikendalikan pada harga yang diinginkan,contoh:laju ,komposisi,suhu,level, tekanan dan lainnya.

Setpoint: harga atau nilai yang diinginkan/dikehendaki dari control variabel.

Variabel manipulasi: merupakan besaran atau kondisi yang sengaja diatur dan terukur untuk memperoleh hasil tertentu dalam hal ini adalah setpoint.Contohnya seperti laju reaksi dan kelarutan, dan juga berupa laju alir dari aliran tertentu.

Feedback: Proses –yang menempatkn sensor pada produk,diman apabila tidak sesuai standar maka produk akan dikembalikan ke dalam proses dan proses akan dimodifikasi sehingga menghasilkan produk yang sesuai.

Forward: Proses konrol yang menempatkan sensor yang akan menganalisa masalah yang timbul pada proses diman saat ada masalah sistem akan langsung memodifikasi proses agar menghasilkan produk yang sesuai

Sistem terbuka: Diman sistem apabila ada error maka sitem akan mengeksekusi langsung dan kita masih bisa mengubah sistem untuk menghasilkan produk.

Sitem tertutup: Yakni apabila terjadi eror maka sitem akan langsusng menyesuiakn dan langsung dieksekusi dan kita tidak dapat mengubah sistem untuk menghasilkan produk

Feedback: Mendayagunakan keluaran dari sistem untuk mempengaruhi masukan dari sistem yang sama

2.7  Contoh Pertanyaan Dinamika Level Tangki yang mungkin ditanya

1. Apa itu dinamika?

 Dinamika itu pergerakan. 

2.Apa itu level Tangki 

Level Tangki itu adalah derajat/ketinggian dalam tangki 

3.Tujuan praktikum 

Percobaan ini bertujuan untuk memahami dinamika level tangki dengan menggunakan sistem feedback dan membuat model matematiknya. 

4.Dinamika Level Tangki bergantung pada apa aja ? Laju alir masuk dan laju alir keluar. 

5. Apa itu pengendalian proses control,penerapan? 

Pengendalian proses adalah disiplin rekayasa yang melibatkan mekanisme dan algoritme untuk mengendalikan keluaran dari suatu proses dengan hasil yang diinginkan. Contohnya, temperatur reaktor kimia harus dikendalikan untuk menjaga keluaran produk. Pengendalian proses banyak sekali digunakan pada industri dan menjaga konsistensi produk produksi massal seperti proses pada pengilangan minyak, pembuatan kertas, bahan kimia, pembangkit listrik, dan lainnya. 

6. Apa itu PLC dan DCS? 

Alat pengendalian yang umum digunakan adalah Programmable Logic Controller (PLC). Alat ini digunakan untuk membaca input analog maupun digital, melakukan serangkaian program logika, dan menghasilkan serangkaian output analog maupun digital. Pada kasus sistem pengaturan temperatur, temperatur ruangan menjadi input bagi PLC. Distributed Control System merupakan suatu sistem yang mendistribusikan berbagai fungsi yang digunakan untuk mengendalikan berbagai variabel proses dan unit operasi proses menjadi suatu pengendalian yang terpusat pada suatu control room dengan berbagai fungsi pengendalian, monitoring dan optimasi[1]. 

Distributed control system (DCS) adalah sebuah system kontrol yang biasanya digunakan pada sistem manufacturing atau proses, dimana elemen controller tidak berada pada sentral sistem (sebagai pusat) tetapi tersebar di sistem dengan komponen subsistem di bawah kendali satu atau lebih controller. Keseluruhan sistem dapat menjadi sebuah jaringan untuk komunikasi dan monitoring. Distributed control system (DCS) digunakan dalam industri untuk memonitor dan mengontrol peralatan yang tersebar dengan atau tanpa campur tangan manusia. Sebuah DCS biasanya menggunakan komputer sebagai controller dan menggunakan propietary interconections dan protokol untuk komunikasi. 

6. Apa Perbedaan antara Feedback control dan feedforward control 

1) Feedback Control System merupakan sebuah sistem kendali dimana control actionnya bergantung pada nilai outputnya. Feedback control system ini sangat common atau sering sekali digunakan dalam pengoperasian plant. (Nilai erorrnya besar, tapi prosesnya cepat). 

2) Feedforward control merupakan sebuah control action yang mampu mengantisipasi efek dari disturbances terhadap proses dan mengompensasi disturbances tersebut. Kompensasi feedforward menyebabkan terciptanya sebuah sinyal inverse yang akan mengeliminasi efek dari beban operasi (load) pada disturbance. (Mampu mengurangi deviasi, tapi prosesnya lambat) 

7.Perbedaan antara open loop dan close loop? 

Open loop itu adalah suatu sistem pengendalian yang membutuhkan operator. Sedangkan Close Loop itu sistem pengendalian yang tidak membutuhkan operator. 

8.Apa itu SSE? 

Dalam statistik, SSE, juga dikenal sebagai jumlah kuadrat residual atau jumlah perkiraan kuadrat kesalahan, adalah jumlah kuadrat residu. Ini adalah ukuran perbedaan antara data dan model estimasi, seperti regresi linier. SSE adalah jumlah selisih kuadrat antara setiap pengamatan dan mean kelompoknya. Ini dapat digunakan sebagai ukuran variasi dalam sebuah cluster. SSE itu cara untuk mengetahui kesalahan dalam model regresi. Jadi, nilai SSE itu untuk melihat perbandingan dari dua data yaitu nilai praktikum kita dan nilai model. Semakin besar nilai SSE nya menandakan model regresi yang digunakan semakin tidak tepat dalam meramalkan variabel independennya. Semakin kecil SSE maka semakin tepat .


Biasanya juga PDAM menggunakan sensor atau sistem bola apung untuk mendeteksi ketinggiannya..kalau untuk nilai k itu bisa di anggap konstanta x untuk menentukan nilai optimum dan nilai minimum yag akan kita masukkan pada persamaan kita, tujuan utama kita menjalankan di level optimum adalah untuk mencari nilai k1 dan k2 serta sse untuk perbandingan nilai aktual dan model.. run ke dua untuk melihat dari grafik kengan nilai k1 dan k2 yang di dapat dimasukkan ke dalam persamaan model yang di pakai apakah grafiknya sesuai dengan yang di harapkan.. dan apakah nilai ssenya juga menurun.. 

Tujuan permodelan itu 

Tujuan permodelan itu adalah kita akan membuat Persamaan permodelan yang didapat nantinya akan digunakan untuk mempermudah perhitungan nantinya bila ada perubahan-perubahan variabel. Permodelan ini menggunakan simulasi matlan, simulasi ditunjukan untuk mengukur kinerja dari suatu desain atau modeal yang telah dirancang sesuai dengan hasil yang diinginkan. 

Model eksponensial digunakan dalam sebuah kurva fungsi level terhadap waktu. 

Setpoint adalah elemen yang digunakan untuk menyatakan nilai yang dikehendaki atau nilai referensi dari variabel dinamik atau variabel yang dikendalikan dari suatu sistem. 

Untuk sistem kontrol air digunakan feedback. 

Ketika adanya kebocoran maka digunakan feedforward.

 Pengendalian level harus sesuai dengan range. Untuk mempertahankan nilai dari ketinggian tangki, agar fluida air berada dalam keadaan stabil sesuai dengan set point yang kita inginkan

Feedback control

Bekerja pada hasil tingkat nilai eror yang terjadi pada hasil produk yang dikontrol sehingga ketika variabel control mempunyai nilai eror maka sistem pengendali akan memanipulasi input dengan mengubah besarannya agar nilai output mendekati nilai yang ditetapkan memanipulasi proses mengukur keluaran dari sistem yang dibandingan dengan suatu standar tertentu dan bila ada perbedaan /penyimpangan akan diekseskusi untuk diperbaiki

Feed forward control

1.dikatakn positif feedback (umpan balik positif)

2.mendorong proses dari sistem agar menghasilkan hasil baik yang positif

3.penegndalian dilakukan setelah keluaran dihaslkan

4.agar keluaran dapat dihasilkan umpan balik yang positif maka penegndalian tak boleh diukur dari keluarnya tetaopi diukur dan dikendalikan prosesnya.

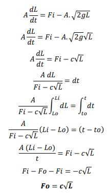
Penurunan Persamaan Perhitungan Dinamika Level Tangki

Laju alir masuk – laju alir keluar + laju generasi = laju akumulasi


Berdasarkan persamaan Bornouli bahwa:


sehingga dengan mensubstitusikan nilai v ke persamaan sebelumnya,maka: